Per resoldre aquest problema cal conèixer el valor d'un nombre  (S)
que us han de passar del problema 5


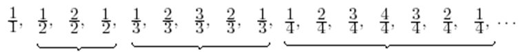
S'escriu una successió de fraccions tal com es mostra seguidament:
 
Quin és el numerador de la fracció que ocupa el lloc S en aquesta llista?

Cap a un altre problema