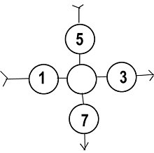
Quina xifra, del 0 al 9, hem de posar en el cercle central perquè els dos nombres de tres xifres indicats per les fletxes (en el sentit que assenyalen, un d'esquerra a dreta, l'altre de dalt a baix) siguin, tots dos, nombres primers?


La resposta passa com a nombre d al problema 9.

Ara ja és el moment que l'encarregat o l'encarregada
d'omplir els formularis, enviï les respostes dels problemes de l'1 al 4.

Formulari per enviar respostes de l'1 al 4